Independent research



Research
Quantum research
Independent research featuring The Quantum Bridle (Pre-print, submitted for publication)
Noseband pressure assessment - March 2023
Excerpt from VETS Journal with research results relating to The Quantum Bridle
The view the Vet Journal click here
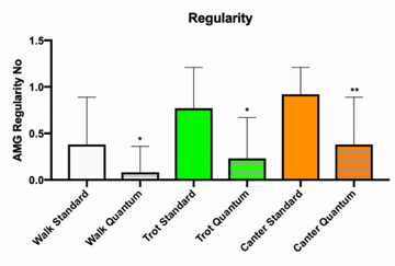
A total of 12 horses were fitted either with a standard bridle or the Quantum, and then exercised in a training arena at the walk, trot and canter to a set routine by a qualified rider who is also a veterinarian. Both m. Splenius and m. Brachiocephalicus were measured by Dr. Adrian Harrison of Copenhagen University and his team.
The results were highly significant.
The Quantum was found to result in a significantly more regular muscle pattern for both muscles and for all (3-5) gaits compared with the standard bridle – the difference at the canter was especially significant.
It was also observed that the Quantum resulted not only in regular patterns of muscle activity, but also a faster turn of speed for the gaits measured compared with the standard bridle.
Regular muscle activity is essential when competing for dressage, jumping or other equine sports competitions, where sudden changes in posture, range of motion or direction may contribute to a low score.
The Quantum was found to induce significantly fewer spikes for both muscles and for all (3-5) gaits compared with the standard bridle – most of these differences were highly significant.
Lateral flexion of the neck muscle was not only significantly better than that with the standard bridle, it was also very even which indicates that the Quantum bridle is allowing the horse to use its head as a counter balance in canter.
SUMMARY: An overall assessment of the Quantum, using acoustic myography recordings, reveals that horses not only exhibit a much more regular muscle activity during periods of physical activity, but that their muscle contractions are also associated with fewer sudden uncomfortable/painful muscle reactions, and that their muscle use is highly balanced and therefore contributes to less fatigue and greater range of movement – all compared with a standard bridle.
Both of the muscles selected in this study comprise part of the lateral myofascial kinetic line (LL, [10]) and additionally part of the front limb protraction line (FLPL, m. brachiocephalicus) and the spiral line (SPL, m. splenius). Indeed, not only are the LL and SPL kinetic myofascial lines present cranially and in the neck, they both run throughout the body of the horse connecting both major muscle groups as well as the muscles in the neck to muscles in the hindlimb [10]. Where the LL is dominating in lateral flexion coupled to either flexion or extension of the trunk, the SPL is related to the diagonal coordination, cross coordination and thereby the faster speeds such as galop. The lines work together with the other body lines [10] through interconnections creating a balanced, functional and mechanical collaboration in a full body 3D web of myofascia.
Visit Curo Diagnostics for more details.